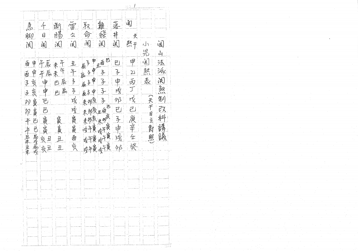
三清道院《闾山法派关煞制改科讲义》20面电子版

 

资源下载
下载价格180 术币

温馨提示:大部分资料都是古本或现代整理版,实际内容以资料内容为准,不确定内容是否是自己需要的请咨询工单咨询,未经咨询下单一律视为清楚了解资料内容并选择,下单成功后概不退款,网站资料使用百度网盘或夸克网盘链接下载附件,介意者谨慎考虑是否需要!支付后不要关闭网页等待自动跳转到下载页面,如果仍然无法下载请点击这里提交工单,正常30分钟内会更新下载链接,管理在线时间为早8点到晚上21点,节假日及休息时间会延误时间稍长,敬请耐心等待(游客朋友联系管理微信补发:gxwswcom 加好友务必备注资料名称加无法下载):管理会在看到消息后第一时间给您补发资料,并在资料页面补发链接提供下载链接,感谢理解!!!!


震天玉皇金法教《虎令门》33页电子版
震天玉皇金法教《虎令门》33页电子版
9分钟前 有人购买 去瞅瞅看
没有账号?注册  忘记密码?