秘山朴炀道人法奇门玄章第一部视频加文档电子版
内容大致如下,具体以资料为准: 本章为奇门先导课程,亦为本脉最重要之内修之法传授,通过内修,即可通行万物万法,更可为自身天人而打下基础 1.奇门心印内修:打坐存...
九天玄女奇门阵法116页电子版
内容大致如下,具体以资料为准: 值符法(利用奇门值符的能量)、增缘法、合婚法、求缘法、祈愿法、驱邪法、护身法、学业法、请财神法、生意必成法、化解牢狱之灾法、求财...
正一开光科范全集上下104页电子版
正一开光科范全集(上卷下卷) 1:开光荡秽卫坛科 2:开光发文请圣科 3:开光十供科 4:开光参驾演经科 5:开光装藏贯穿注释 6:开光装藏科 7:开光净像科(...
三元法教一集视频加150页课件电子版
内容大致如下,具体以资料为准: 上元唐将军 专司人之祈福升运一事 乃人百运之所属 世人论:无运则百财不入 所以提升运气,方为人之关键所在! 本期课程以祈福切入,...
方宗骅中华峨眉内功两册电子版
方宗骅是峨眉剑派23代传人,书中详细介绍了六步养生功,长寿功,金刚神掌功,金刚清虚剑,内功八法拳,八大修真功,地仙炼丹九层修炼心法等。修炼体系完整,传承严谨,不...
最新涂山狐仙法5集视频+文档电子版
内容大致如下,具体以资料为准: 一、狐仙坛图加持法 二、狐仙香水化妆品加持法 三、狐仙请神画符敕符法 四、灵狐护身法 五、狐仙修炼法 六、狐仙转运法 七、狐仙禁...
胭脂仙娘法34页电子版
内容介绍大致如下,具体以资料为准: 此法奉胭脂娘娘为主事,无需供奉苦修,是专门用于招桃花、催人缘、促和合的,效果比灵狐类的更强效,属于暴力人缘大法! 修此妙诀还...
花泽豪甲辰年风水班22节视频
花泽豪风水课解锁《21天风水改运实战秘法》罗盘+地图=改写家宅财富基因,小白秒变风水调理师❗ 最不应该错过的就是花泽豪的风水课 🎁 核爆推荐理由:杨公风水真传+...
道教讳字全集上下卷合集190页电子版
收录1500多个讳字的《道教讳字全集》讳字大全(上下卷) 内容有:先天玉帝隐讳,玉皇上帝讳,玉皇四讳,雷讳,雷祖总讳,三清讳,上清讳,太清讳,玉清讳,人皇讳,天...
阴阳风水阵二十法视频加文档电子版
内容介绍大致如下,具体以资料为准: 《阴宅风水药王十大阵》: ㊙️1、仙龙再造阵:解决墓地有树根扎入穴内的风水; ㊙️2、高山仰止阵:解决墓地进黑水的风水: ㊙...
八字案例笔记185页电子版
第一部 八字论命技法 第一章 六亲篇 第一节 六亲的看法—- 第二节 父母的看法一 第三节 祖辈双姓的看法——- 第五节 母亲的看法 第六节 父亲的看法 第七节...
内传灯阵布局全册131页电子版
内容大致如下,具体以资料为准: 目录 一、雷火遣法治病阵 二、雷火药吕治病灯阵 三、增灵灯阵 四、北斗灯阵 五、祈福灯阵 六、聚财灯阵 七、赵元帅灯阵一 八、赵...
奇门遁甲从入门到精通上下212页电子版
目录 第 1 章:奇门遁甲快速入门的方法(上) 第 2 章:奇门遁甲快速入门的方法(下) 第 3 章:阴阳五行生克制化的关系 第 4 章:五行的五种旺衰状态 第...
珍稀秘法道坛灯仪193面电子版
大致内容如下,具体以资料为准: 玉皇灯科,玉皇心印经,北斗本命延寿灯仪,南斗延寿灯仪,三官灯仪,财神万灵灯仪,土司灯仪,北斗七元星灯仪,玄帝灯仪,法事如式,上清...
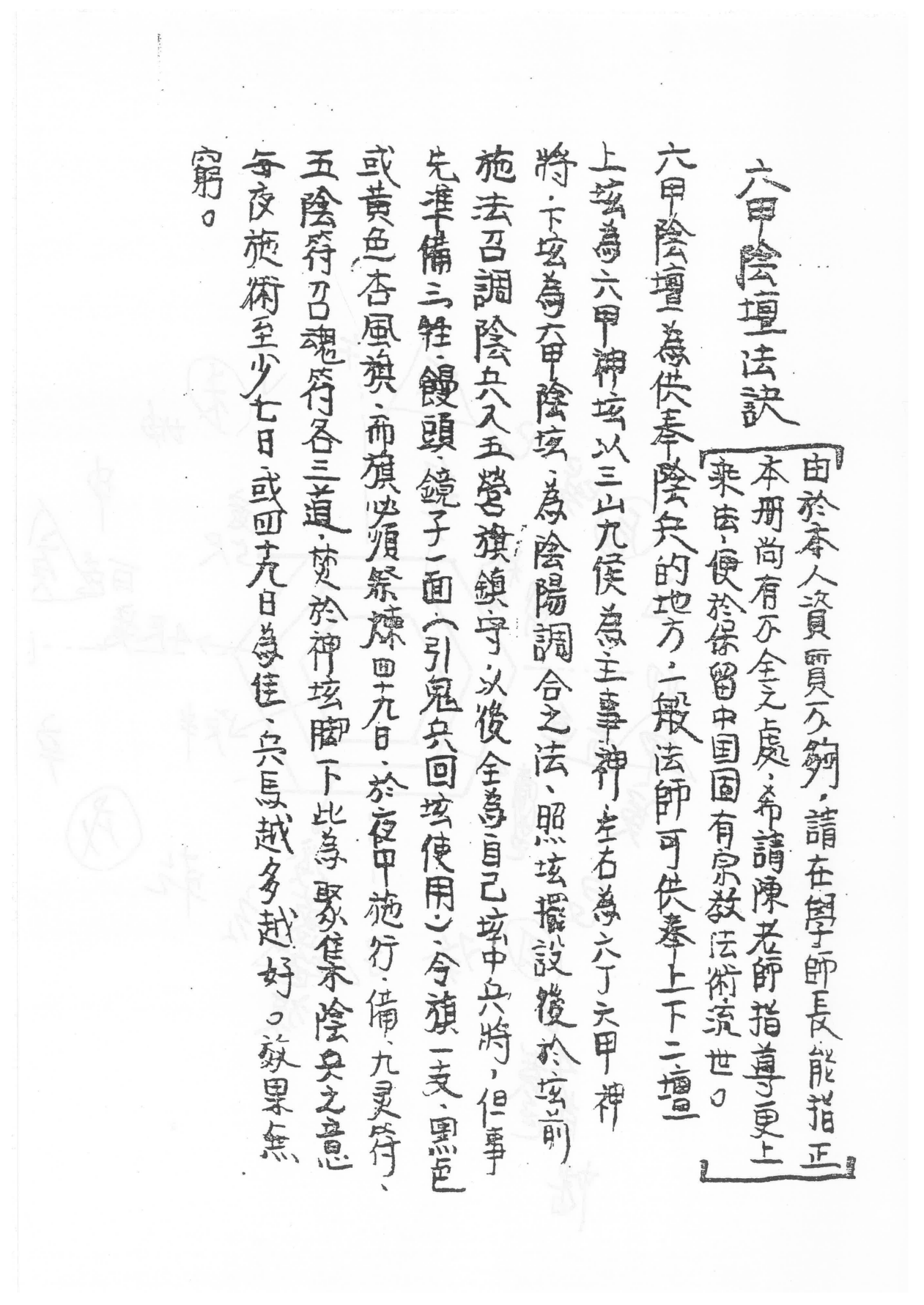
茅山六甲阴坛法诀69页电子版
民間法教手抄本一冊 內容包含:六甲陰壇法訣、借兵旗茅山杏風旗、六甲陰壇圖(上為六甲神壇)、借兵咒、土地咒、聚陰咒、九靈符、主召符、召魂符、聽令咒、借兵符、三奶夫...


