内容大致如下:
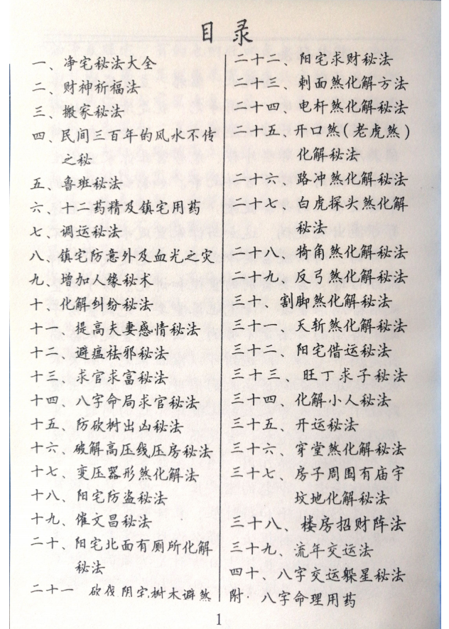
一净宅法大全,
二财神祈福法
三,搬家秘法
四、民间三百年的风水不传之谜
五、鲁班秘法
六、十二药精及镇宅用药
七、调运秘法
八、镇宅防意外及血光之灾、
九增加人缘秘术
十、化解纠纷秘法
十一、提高夫妻感情秘法
十二、避瘟祛邪秘法
十三、求官求富秘法
十四,八字命局求官秘法
十五、防砍树出凶秘法
十六、破解高压线压房秘法
十七、变压器形煞化解法
十八、阳宅防盗秘法
十九、催文昌秘法
二十。阳宅北面有厕所化解秘法
二十一砍伐阴宅树木避煞
二十二、阳宅求财独法
二十三、刺面煞化解方法
二十四、电杆煞化解法
二十五、开口煞(老虎是)
化解秘法
二十六、路冲煞化解秘法
二十七、白虎探头煞化解
秘法
二十八、犄角煞化解秘法
二十九、反弓煞化解秘法
三十、割脚煞化解秘法
三十一、天斩煞化解秘法
三十二、阳宅借运秘法
三十三、旺丁求子秘法
三十四、化解小人秘法
三十五、开运秘法
三十六、穿堂煞化解秘法
三十七、房子周围有庙宇
坟地化解秘法
三十八、楼房招财阵法
三十九、流年交运法
四十、八字交运躲星秘法
附·八字命理用药

下载说明:由于部分文件比较大,下载速度可能会慢些;文件格式为PDF文件。手机与电脑上安装WPS软件就都可以观看!如果下载不成功或链接失效,可以加管理微信:ddzlwcom 发付款截图即可补发!


评论0